
Independent Lab Report
Test Results of Wine and Beer
Lab Report
Test Results of Wine and Beer
Date: 2017Lab: Health Research Institute Laboratories (HRI Labs)
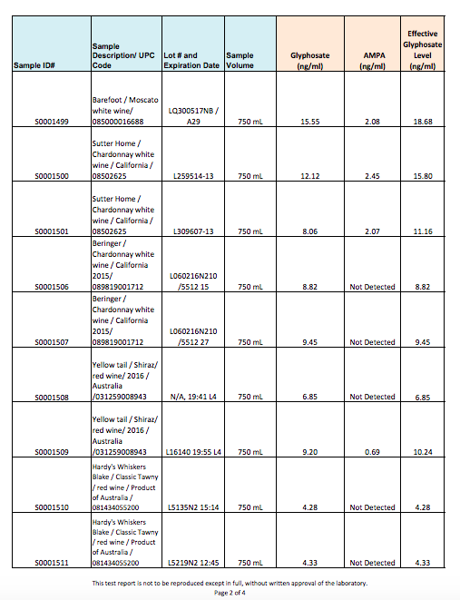
Independent lab testing of wine and beer samples commissioned by Moms Across America. See the full Certificates of Analysis PDFs below for brand-by-brand results.
Test Results of Wine and Beer
WINE




Click here for full pdf report of wine testing.
BEER

Click here for full pdf report of batch beer testing.

